Konsultacje przed kolokwium z matematyki

Data dodania
Kategorie

Konsultacje online rozpoczną się 24 listopada 2025 r. i potrwają do 23 lutego 2026 r.

Image

Nadchodzi kolokwium z matematyki, a Ty czujesz, że nie do końca jeszcze wszystko rozumiesz...?

A może rozwiązałeś/aś przykładowe zadania, ale nie wiesz, czy na pewno poprawnie...?

Ta seria tematycznych spotkań online jest dla Ciebie!

Przyjdź na konsultacje - spróbujemy pomóc.

Na każdym spotkaniu będziemy analizować  typowe zadania z kolokwiów i odpowiadać na Wasze pytania zgodnie z podanym poniżej harmonogramem (załącznik)

Godzina: 20.00-21.00

Prowadzący: dr inż. Elżbieta Kotlicka-Dwurznik, dr Agnieszka Kubiś-Lipowska, dr inż. Gertruda Gwóźdź-Łukawska

Przypominamy również, że treść z kursu wyrównawczego z matematyki jest dostępna w zakładce Studenci > Kurs z matematyki. 

Kolokwium z matematyki blisko - nie czekaj, to dobry czas na powtórkę!
Zapraszamy!
 

NOTATKI Z ZAJĘĆ:
1. Asymptoty cz.1 (24.11.2025)
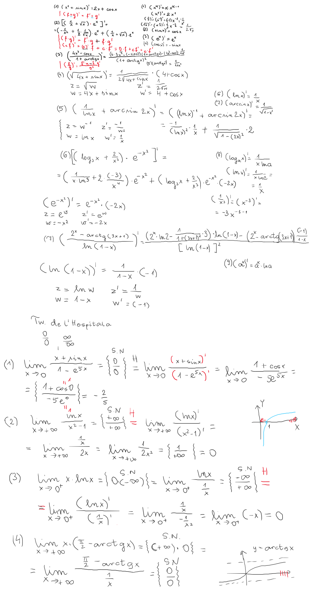
2. Pochodne cz. 1 (26.11.2025)
3. Monotoniczność i ekstrema lokalne funkcji cz.1 (1.12.2025)
4. Wypukłość/wklęsłość i punkty przegięcia (03.12.2025)
5. Szkicowanie wykresów cz.1. (08.12.2025)
6. Pochodne cz.2. (10.12.2025)
7. Asymptoty funkcji cz.2. (11.12.2025)
8. Ekstrema lokalne i ekstrema globalne funkcji cz.2. (15.12.2025)
9. Rachunek różniczkowy funkcji jednej zmiennej - Przebieg zmienności funkcji. (16.12.2025)
10. Badanie przebiegu zmienności funkcji, cz.2. (07.01.2026)
11. Całki nieoznaczone - metody całkowania. (08.01.2026)
12. Całkowanie funkcji wymiernych cz.1. (12.01.2026)
13. Działania na wektorach i ich zastosowania. (13.01.2026)
14. Zastosowania geometryczne całki oznaczonej, cz.1. (14.01.2026)
15. Twierdzenie Cramera i metoda Gaussa (15.01.2026)
16. Całki niewłaściwe, cz.1. (19.01.2026)
17. Równania w dziedzinie zespolonej. (20.01.2026)
18. Prosta i płaszczyzna. (21.01.2026) 
19. Całki nieoznaczone - metody całkowania. (22.01.2026 nowy termin spotkania zostanie podany wkrótce)
20. Całka nieoznaczona - powtórzenie. Zastosowania geometryczne całki oznaczonej, cz.2. (26.01.2026) 
21. Całki nieoznaczone - całkowanie funkcji wymiernych. (27.01.2026)
22. Powtórka przed egzaminem. Wielomian Taylora. Sumy całkowe. (02.02.2026)
23. Całki niewłaściwe. (03.02.2026)
24. Granice ciągów. Granice i asymptoty funkcji. (04.02.2026)
25. Liniowa niezależność wektorów, przekształcenia liniowe, wartości własne i wektory własne przekształceń liniowych. (05.02.2026)
26. Powtórka przed egzaminem. Ciągłość, różniczkowalność i całkowalność. Najważniejsze twierdzenia rachunku różniczkowego i całkowego. (06.02.2026)
27. Powtórka przed egzaminem. Wielomian Taylora. Sumy całkowe. (09.02.2026)
28. Liczby zespolone - powtórka. (11.02.2026)
29. Całki - powtórka. (18.02.2026)
30. Powtórka przed egzaminem. Ciągłość, różniczkowalność i całkowalność. Najważniejsze twierdzenia rachunku różniczkowego i całkowego. (19.02.2026)
31. Elementy przebiegu zmienności funkcji. Szkicowanie wykresów. (20.02.2026)

 

Strona dziala - zabbix